Basiert die Varianz auf dem folgenden Maß für die Variabilität?

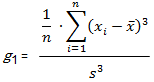
Nicht wirklich, sehen Sie selbst. - Dieser Term zeigt den Zähler in der Formel zur Berechnung der Schiefe:
Also zurück zur Frage und überlegen Sie noch ein Mal.