Aufgabe 13, Antwort D:

Wenn eine Zufallsstichprobe mit Erwartungswert µ = 120 und Varianz σ2 = 25 normalverteilt sei, beträgt die Wahrscheinlichkeit P(120 < x ≤ 130)

0,079 ?



Sie sollten nicht raten, sondern rechnen.

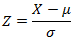
Um dem Ergebnis auf die Spur zu kommen, muss man im Endeffekt P(x ≤ 130) - P(x ≤ 120) bestimmen.
Zum Ermitteln der einzelnen Wahrscheinlichkeiten, können Sie z.B. die Transformation in die Standardnormalverteilung nutzen: .


Nicht aufgeben. − Sie schaffen das!




  Zurück zur Frage